重要提示: 请勿将账号共享给其他人使用,违者账号将被封禁!
查看《购买须知》>>>
找答案首页 > 全部分类 > 求职面试
搜题
题目内容 (请给出正确答案)
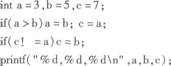
[主观题]

若所用变量均已正确定义,则执行下面程序段后的输出结果是_____. for(i=0 ; i<2 ; i++) printf("yes");>

查看答案
网友您好, 请在下方输入框内输入要搜索的题目:
更多“若所用变量均已正确定义,则执行下面程序段后的输出结果是_____. for(i=0 ; i<2 ; i++) printf("yes");>”相关的问题

第1题

若所用变量均已正确定义,则执行下面程序段后的 值是【1】. for();
点击查看答案

第2题

以下程序段中的变量已正确定义: 程序段的输出结果是( )。
以下程序段中的变量已正确定义:程序段的输出结果是( )。

A.********

B.****

C.**

D.*

点击查看答案

第3题

若变量已正确定义,有以下程序段: 其输出结果是( )。
若变量已正确定义,有以下程序段:其输出结果是( )。

A.程序段有语法错误

B.3,5,3

C.3,5,5

D.3,5,7

点击查看答案

第4题

若变量已正确定义,下面程序段的输出结果是______。

  x=5.238794;

  printf("%f\n",(int)(x*1000+0.5)/(float)1000);

点击查看答案

第5题

若变量已正确定义,有以下程序段 i=0; do printf("%d,",i);while(i++); printf("%d\n",i); 其输出结果是

A.0,0

B.0,1

C.1,1

D.程序进入无限循环

点击查看答案

第6题

若变量已正确定义,有以下程序段: i=0; do{ printf(“9/6d,”,i); }while(i++); printf(“%d\n”,i); 其输出结果是( )。

A.0,0

B.0,1

C.1,1

D.程序进入无限循环

点击查看答案

第7题

若变量已正确定义,有以下程序段: i=0; do{ printf(“9/6d,”,i); }while(i++); printf(“%d\n”,i); 其输出结果是( )。

A.0,0

B.0,1

C.1,1

D.程序进入无限循环

点击查看答案

第8题

若变量已正确定义,有以下程序段 其输出结果是( )。
若变量已正确定义,有以下程序段

其输出结果是( )。

A.0,1

B.0,0

C.1,1

D.程序进入无限循环

点击查看答案

第9题

以下程序段中的变量已正确定义:

程序段的输出结果是( )。

A.**

B.****

C.*

D.********

点击查看答案

第10题

若有以下变量定义和函数调用语句: int a=25; print_value(&a); 则执行下面函数后正确的输出结果是( )。 void print_value(int*x) { cout<<++*x<<endl; }

A.23

B.24

C.25

D.26

点击查看答案
客服
TOP
重置密码
账号:
旧密码:
新密码:
确认密码:
确认修改
购买搜题卡查看答案
购买前请仔细阅读《购买须知》
请选择支付方式
微信支付
支付宝支付
选择优惠券
优惠券
请选择
点击支付即表示你同意并接受《服务协议》《购买须知》
立即支付
搜题卡使用说明

1. 搜题次数扣减规则:

功能 扣减规则
基础费
(查看答案)
加收费
(AI功能)
文字搜题、查看答案 1/每题 0/每次
语音搜题、查看答案 1/每题 2/每次
单题拍照识别、查看答案 1/每题 2/每次
整页拍照识别、查看答案 1/每题 5/每次

备注:网站、APP、小程序均支持文字搜题、查看答案;语音搜题、单题拍照识别、整页拍照识别仅APP、小程序支持。

2. 使用语音搜索、拍照搜索等AI功能需安装APP(或打开微信小程序)。

3. 搜题卡过期将作废,不支持退款,请在有效期内使用完毕。

请使用微信扫码支付(元)
订单号:
遇到问题请联系在线客服
请不要关闭本页面,支付完成后请点击【支付完成】按钮
遇到问题请联系在线客服
恭喜您,购买搜题卡成功 系统为您生成的账号密码如下:
重要提示: 请勿将账号共享给其他人使用,违者账号将被封禁。
发送账号到微信 保存账号查看答案
怕账号密码记不住?建议关注微信公众号绑定微信,开通微信扫码登录功能
警告:系统检测到您的账号存在安全风险

为了保护您的账号安全,请在“上学吧”公众号进行验证,点击“官网服务”-“账号验证”后输入验证码“”完成验证,验证成功后方可继续查看答案!

- 微信扫码关注上学吧 -
警告:系统检测到您的账号存在安全风险
抱歉,您的账号因涉嫌违反上学吧购买须知被冻结。您可在“上学吧”微信公众号中的“官网服务”-“账号解封申请”申请解封,或联系客服
- 微信扫码关注上学吧 -
请用微信扫码测试
选择优惠券
确认选择
谢谢您的反馈

您认为本题答案有误,我们将认真、仔细核查,如果您知道正确答案,欢迎您来纠错

上学吧找答案