重要提示: 请勿将账号共享给其他人使用,违者账号将被封禁!
查看《购买须知》>>>
找答案首页 > 全部分类 > 求职面试
搜题
题目内容 (请给出正确答案)
[单选题]

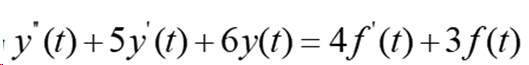
已知系统微分方程为已知系统微分方程为,系统函数为(),系统函数已知系统微分方程为,系统函数为()为()

A.已知系统微分方程为,系统函数为()

B.已知系统微分方程为,系统函数为()

C.已知系统微分方程为,系统函数为()

D.已知系统微分方程为,系统函数为()

暂无答案
网友您好, 请在下方输入框内输入要搜索的题目:
更多“已知系统微分方程为[图],系统函数[图]为()A、[图]B、[...”相关的问题

第1题

LTI系统的微分方程为[图],则系统函数为A、[图]B、[图]C、...

LTI系统的微分方程为,则系统函数为

A、

B、

C、

D、以上答案都不正确

点击查看答案

第2题

已知系统的微分方程为[图],则系统的传递函数为( )。A、[...

已知系统的微分方程为,则系统的传递函数为( )。

A、

B、

C、

D、

点击查看答案

第3题

已知系统的微分方程为[图],则系统的传递函数为( )。A、[...

已知系统的微分方程为,则系统的传递函数为( )。

A、

B、

C、

D、

点击查看答案

第4题

已知系统的微分方程为[图] ,则系统的传递函数是A、[图]...

已知系统的微分方程为,则系统的传递函数是

A、

B、

C、

D、

点击查看答案

第5题

已知系统的微分方程为[图],则系统的传递函数是( )A、[...

已知系统的微分方程为,则系统的传递函数是( )

A、

B、

C、

D、

点击查看答案

第6题

已知系统的微分方程为[图],则系统的传递函数是( )。A、[...

已知系统的微分方程为,则系统的传递函数是( )。

A、

B、

C、

D、

点击查看答案

第7题

已知函数[图]满足微分方程:[图],且[图],则( ).A、[图]B...

已知函数满足微分方程:,且,则( ).

A、

B、

C、

D、

点击查看答案

第8题

求微分方程[图]所描述系统的系统函数[图] ( )A、[图]B、...

求微分方程image.png所描述系统的系统函数image.png( )

A、image.png

B、image.png

C、image.png

D、image.png

点击查看答案

第9题

已知LTI系统的系统函数[图],则其微分方程形式为( )A、[...

已知LTI系统的系统函数,则其微分方程形式为( )

A、

B、

C、

D、

点击查看答案

第10题

已知系统的微分方程为 [图],则系统的传...

已知系统的微分方程为,则系统的传递函数为( )。

A、

B、

C、

D、

点击查看答案
客服
TOP
重置密码
账号:
旧密码:
新密码:
确认密码:
确认修改
购买搜题卡查看答案
购买前请仔细阅读《购买须知》
请选择支付方式
微信支付
支付宝支付
选择优惠券
优惠券
请选择
点击支付即表示你同意并接受《服务协议》《购买须知》
立即支付
搜题卡使用说明

1. 搜题次数扣减规则:

功能 扣减规则
基础费
(查看答案)
加收费
(AI功能)
文字搜题、查看答案 1/每题 0/每次
语音搜题、查看答案 1/每题 2/每次
单题拍照识别、查看答案 1/每题 2/每次
整页拍照识别、查看答案 1/每题 5/每次

备注:网站、APP、小程序均支持文字搜题、查看答案;语音搜题、单题拍照识别、整页拍照识别仅APP、小程序支持。

2. 使用语音搜索、拍照搜索等AI功能需安装APP(或打开微信小程序)。

3. 搜题卡过期将作废,不支持退款,请在有效期内使用完毕。

请使用微信扫码支付(元)
订单号:
遇到问题请联系在线客服
请不要关闭本页面,支付完成后请点击【支付完成】按钮
遇到问题请联系在线客服
恭喜您,购买搜题卡成功 系统为您生成的账号密码如下:
重要提示: 请勿将账号共享给其他人使用,违者账号将被封禁。
发送账号到微信 保存账号查看答案
怕账号密码记不住?建议关注微信公众号绑定微信,开通微信扫码登录功能
警告:系统检测到您的账号存在安全风险

为了保护您的账号安全,请在“上学吧”公众号进行验证,点击“官网服务”-“账号验证”后输入验证码“”完成验证,验证成功后方可继续查看答案!

- 微信扫码关注上学吧 -
警告:系统检测到您的账号存在安全风险
抱歉,您的账号因涉嫌违反上学吧购买须知被冻结。您可在“上学吧”微信公众号中的“官网服务”-“账号解封申请”申请解封,或联系客服
- 微信扫码关注上学吧 -
请用微信扫码测试
选择优惠券
确认选择
谢谢您的反馈

您认为本题答案有误,我们将认真、仔细核查,如果您知道正确答案,欢迎您来纠错

上学吧找答案