重要提示: 请勿将账号共享给其他人使用,违者账号将被封禁!
查看《购买须知》>>>
找答案首页 > 全部分类 > 大学本科
搜题
题目内容 (请给出正确答案)
[主观题]

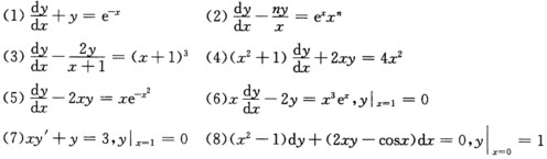
求下列微分方程的通解或满足给定初值条件的特解:

求下列微分方程的通解或满足给定初值条件的特解:

请帮忙给出正确答案和分析,谢谢!

查看答案
网友您好, 请在下方输入框内输入要搜索的题目:
更多“求下列微分方程的通解或满足给定初值条件的特解:”相关的问题

第1题

求下列微分方程的通解或满足给定初值条件的特解 (3);(5)y"-2y'+5y=exsin2x (8),

求下列微分方程的通解或满足给定初值条件的特解

  (3)y"=2y';

  (5)y"-2y'+5y=exsin2x;

  (8)(1-x2)y"-xy'=0;y'(0)=0,y(0)=0

点击查看答案

第2题

求下列微分方程的通解或在给定条件下的特解

点击查看答案

第3题

求下列微分方程的通解或在给定条件下的特解:

点击查看答案

第4题

求下列微分方程的通解或在给定条件下的特解:

点击查看答案

第5题

求下列微分方程的通解或在给定条件下的特解:

点击查看答案

第6题

求下列微分方程的通解或在给定条件下的特解:

点击查看答案

第7题

求下列微分方程的通解或在给定条件下的特解:

点击查看答案

第8题

求下列微分方程的通解或在给定条件下的特解:

点击查看答案

第9题

求下列微分方程的通解或给定初始条件下的特解:

点击查看答案

第10题

求下列各微分方程的通解或在给定初始条件下的特解

点击查看答案
客服
TOP
重置密码
账号:
旧密码:
新密码:
确认密码:
确认修改
购买搜题卡查看答案
购买前请仔细阅读《购买须知》
请选择支付方式
微信支付
支付宝支付
选择优惠券
优惠券
请选择
点击支付即表示你同意并接受《服务协议》《购买须知》
立即支付
搜题卡使用说明

1. 搜题次数扣减规则:

功能 扣减规则
基础费
(查看答案)
加收费
(AI功能)
文字搜题、查看答案 1/每题 0/每次
语音搜题、查看答案 1/每题 2/每次
单题拍照识别、查看答案 1/每题 2/每次
整页拍照识别、查看答案 1/每题 5/每次

备注:网站、APP、小程序均支持文字搜题、查看答案;语音搜题、单题拍照识别、整页拍照识别仅APP、小程序支持。

2. 使用语音搜索、拍照搜索等AI功能需安装APP(或打开微信小程序)。

3. 搜题卡过期将作废,不支持退款,请在有效期内使用完毕。

请使用微信扫码支付(元)
订单号:
遇到问题请联系在线客服
请不要关闭本页面,支付完成后请点击【支付完成】按钮
遇到问题请联系在线客服
恭喜您,购买搜题卡成功 系统为您生成的账号密码如下:
重要提示: 请勿将账号共享给其他人使用,违者账号将被封禁。
发送账号到微信 保存账号查看答案
怕账号密码记不住?建议关注微信公众号绑定微信,开通微信扫码登录功能
警告:系统检测到您的账号存在安全风险

为了保护您的账号安全,请在“上学吧”公众号进行验证,点击“官网服务”-“账号验证”后输入验证码“”完成验证,验证成功后方可继续查看答案!

- 微信扫码关注上学吧 -
警告:系统检测到您的账号存在安全风险
抱歉,您的账号因涉嫌违反上学吧购买须知被冻结。您可在“上学吧”微信公众号中的“官网服务”-“账号解封申请”申请解封,或联系客服
- 微信扫码关注上学吧 -
请用微信扫码测试
选择优惠券
确认选择
谢谢您的反馈

您认为本题答案有误,我们将认真、仔细核查,如果您知道正确答案,欢迎您来纠错

上学吧找答案