重要提示: 请勿将账号共享给其他人使用,违者账号将被封禁!
查看《购买须知》>>>
找答案首页 > 全部分类 > 计算机类考试
搜题
题目内容 (请给出正确答案)
[主观题]

下列程序将x、y和z按从小到大的顺序排列,请将下面的函数模板补充完整。template<class T> void ord

下列程序将x、y和z按从小到大的顺序排列,请将下面的函数模板补充完整。

template<class T>

void order()

{

T al

if(x>y)

{

a=x;x=y; y=a;

}

if(y>z)

{

a=y;y=Z; z=a;

}

if(x>y)

{

a=X;X=y; y=a;

}

}

查看答案
网友您好, 请在下方输入框内输入要搜索的题目:
更多“下列程序将x、y和z按从小到大的顺序排列,请将下面的函数模板补充完整。template<class T> void ord”相关的问题

第1题

下列程序将X、Y和Z按从小到大的顺序排列,横线处应添加语句()。

点击查看答案

第2题

下列程序将X、Y和Z按从小到大的顺序排列,横线处应添加语句()。

点击查看答案

第3题

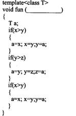
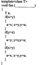
下列程序将x、y和z按从小到大的顺序排列,横线处应添加语句()。template<class T>void fun (______)

下列程序将x、y和z按从小到大的顺序排列,横线处应添加语句()。 template<class T> void fun (______) { T a; if(x>y) { a=x;x=y;y=a; } if(y>z) { a=y;y=z;z=a; } if(x>y) { a=x;x=y;y=a; } }

A.Tx,Ty,Tz

B.Tx;y;z

C.T&x,T&y,T&z

D.T&x,&y,&z

点击查看答案

第4题

下列程序将x、y和z按从小到大的顺序排列,横线处应添加语句()

A.Tx,Ty,Tz

B.Tx;y;z

C.T&x,T&y,T&z

D.T&x,&y,&z

点击查看答案

第5题

下列程序将x、y和z按从小到大的顺序排列,请将下面的函数模板补充完整。 template<class T> void fun (______) { T a; if(x>y) { a=x; x=y;y=a; } if(y>z) { a=y; y=z;z=a; } if(x>y) { a=x; x=y;y=a; } }

A.T x,T y,T z

B.T x;y;z

C.T &x,T &y,T &z

D.T &x, &y, &z

点击查看答案

第6题

下列程序将x,y和z按从小到大的顺序排列,请将下面的函数模板补充完整。 template<class T> void fun(______) { T a; if(x>y) { a=x; x=y;y=a; } if(y>z) { a=y; y=z;z=a; } if(x>y) { a=x; x=y;y=a; } }

A.T x,T y,T z

B.T x;y;z

C.T &x,T &y,T &Z

D.T &x,&y,&z

点击查看答案

第7题

试将下列各数按从小到大的顺序排列起来。

 (168)10,(1001010)2, (C2)16

点击查看答案

第8题

编写程序,将一串凌乱的字母按从小到大的顺序排列。

点击查看答案

第9题

已知BUFI中有N1个按从小到大的顺序排列互不相等的字符号数,BUF2中有N2个从小到大的顺序排列互不相等的字符号数。试编写程序将BUF1和BUF2中的数合并到BUF3中,使在BUP3中存放的数互不相等且按从小到大的顺序排列。

点击查看答案

第10题

请结合课程学习,利用选择法,描述将 N 个数按从小到大顺序排列的基本思路与算法流程。
点击查看答案
客服
TOP
重置密码
账号:
旧密码:
新密码:
确认密码:
确认修改
购买搜题卡查看答案
购买前请仔细阅读《购买须知》
请选择支付方式
微信支付
支付宝支付
选择优惠券
优惠券
请选择
点击支付即表示你同意并接受《服务协议》《购买须知》
立即支付
搜题卡使用说明

1. 搜题次数扣减规则:

功能 扣减规则
基础费
(查看答案)
加收费
(AI功能)
文字搜题、查看答案 1/每题 0/每次
语音搜题、查看答案 1/每题 2/每次
单题拍照识别、查看答案 1/每题 2/每次
整页拍照识别、查看答案 1/每题 5/每次

备注:网站、APP、小程序均支持文字搜题、查看答案;语音搜题、单题拍照识别、整页拍照识别仅APP、小程序支持。

2. 使用语音搜索、拍照搜索等AI功能需安装APP(或打开微信小程序)。

3. 搜题卡过期将作废,不支持退款,请在有效期内使用完毕。

请使用微信扫码支付(元)
订单号:
遇到问题请联系在线客服
请不要关闭本页面,支付完成后请点击【支付完成】按钮
遇到问题请联系在线客服
恭喜您,购买搜题卡成功 系统为您生成的账号密码如下:
重要提示: 请勿将账号共享给其他人使用,违者账号将被封禁。
发送账号到微信 保存账号查看答案
怕账号密码记不住?建议关注微信公众号绑定微信,开通微信扫码登录功能
警告:系统检测到您的账号存在安全风险

为了保护您的账号安全,请在“上学吧”公众号进行验证,点击“官网服务”-“账号验证”后输入验证码“”完成验证,验证成功后方可继续查看答案!

- 微信扫码关注上学吧 -
警告:系统检测到您的账号存在安全风险
抱歉,您的账号因涉嫌违反上学吧购买须知被冻结。您可在“上学吧”微信公众号中的“官网服务”-“账号解封申请”申请解封,或联系客服
- 微信扫码关注上学吧 -
请用微信扫码测试
选择优惠券
确认选择
谢谢您的反馈

您认为本题答案有误,我们将认真、仔细核查,如果您知道正确答案,欢迎您来纠错

上学吧找答案